In vista del pagamento delle pensioni di aprile, in riscossione negli uffici postali da oggi, 26 marzo, al 1 aprile nel Vastese e in tutta Italia, Poste Italiane invita i pensionati che hanno scelto l’accredito della pensione su libretto di risparmio, conto corrente BancoPosta o Postepay Evolution, a non recarsi se possibile negli uffici postali ed a scegliere di prelevare i contanti tramite le carte elettroniche presso gli ATM Postamat, disponibili 24 ore su 24.
ATM Postamat - Oltre agli sportelli automatici degli uffici aperti al pubblico, saranno operativi anche gli ATM Postamat degli uffici postali temporaneamente chiusi. È possibile prelevare fino a 600€ al giorno.
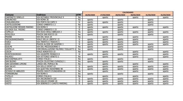
Il calendario - Coloro che invece non possono evitare di ritirare la pensione in contanti presso l’ufficio postale, dovranno presentarsi agli sportelli rispettando la turnazione alfabetica per cognome che varierà rispetto agli uffici postali aperti tutti i giorni, aperti a giorni alterni o quelli disponibili da giovedì a sabato 28 marzo. Si ricorda che la pensione può essere riscossa in circolarità, ovvero in qualsiasi ufficio postale.
Informazioni uffici postali aperti sul sito poste.it e numero verde - Sul sito poste.it, nella sezione “cerca ufficio postale” in home page, e/o contattando il numero verde 800 00 33 22 è possibile conoscere tutte le informazioni sulle modalità di ritiro delle pensioni e sugli uffici postali aperti nel proprio comune.
Modalità di ingresso negli uffici postali - In questa fase, ciascuno è comunque invitato ad entrare negli uffici postali esclusivamente per il compimento di operazioni essenziali e indifferibili, in ogni caso avendo cura, ove possibile, di indossare dispositivi di protezione personale; di entrare in ufficio solo all’uscita dei clienti precedenti; tenere la distanza di almeno un metro, sia in attesa all’esterno degli uffici che nelle sale aperte al pubblico.
Nell’attuale emergenza sanitaria, le suddette modalità di erogazione hanno carattere precauzionale e sono state introdotte con l’obiettivo prioritario di garantire la tutela della salute dei lavoratori e dei clienti di Poste Italiane.
Di seguito le calendarizzazioni per cognome, per ciascuna “tipologia” di apertura degli uffici postali.
Per gli uffici postali aperti tutti i giorni:
dalla A alla B giovedì 26 marzo
dalla C alla D venerdì 27 marzo
dalla E alla K sabato 28 marzo
dalla L alla O lunedì 30 marzo
dalla P alla R martedì 31 marzo
dalla S alla Z mercoledì 1 april
Per gli uffici postali aperti lunedì, mercoledì e venerdì:
dalla A alla D venerdì 27 marzo
dalla E alla O lunedì 30 marzo
dalla P alla Z mercoledì 1 aprile
Per gli uffici postali aperti martedì, giovedì e sabato:
dalla A alla D giovedì 26 marzo
dalla E alla O sabato 28 marzo
dalla P alla Z martedì 31 marzo
Per gli uffici postali aperti eccezionalmente da giovedì 26 marzo a sabato 28:
dalla A alla D giovedì 26 marzo
dalla E alla O venerdì 27 marzo
dalla P alla Z sabato 28 marzo




